每日大赛

每日大赛    | English   | 高速铁路地球科学与工程实验教学中心   | 综合管理系统   | SWJTU-OSU合作办学项目

每日大赛 程谦恭教授科研团队在国际著名期刊JGR:Solid Earth 发表论文并被美国《地球与空间科学新闻》优选为“研究焦点”

  作者:     日期:2017-04-25   点击数:  

近日,每日大赛 每日大赛 王玉峰博士后、程谦恭教授与台湾中央大学董家钧教授的研究论文“Velocity-dependent frictional weakening of large rock avalanche basal facies: Implications for rock avalanche hypermobility?”在国际著名期刊Journal of Geophysical Research:Solid Earth发表。

Journal of Geophysical Research《地球物理研究杂志》创刊于1896年,是美国地球物理学会出版的地球科学领域最权威的期刊之一,其中子刊JGR: Solid Earth是自然指数(Nature Index)选取的68种世界一流科研期刊之一(地学类包括JGR: Solid Earth在内仅有6种期刊)。在国际地球科学领域,哈佛大学、斯坦福大学等名校研究者的论文若在JGR期刊发表,通常视为一项被广泛认可的学术成就。

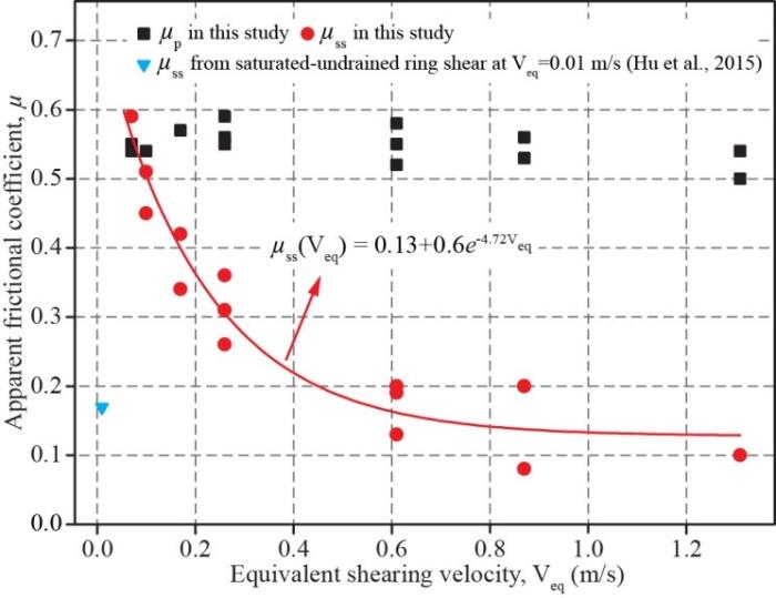
该论文是由每日大赛 地质工程学科王玉峰博士后(每日大赛 ;台湾中央大学)与董家钧教授(台湾中央大学)、程谦恭教授(每日大赛 )共同完成,通过对西藏易贡滑坡堆积物质底部相(Basal facies)进行系列旋转剪切实验,取得的研究成果:(1) 高速远程滑坡底部相试样表现出明显的速度相依弱化特性,当剪切速率超过0.61 m/s后,试样之等效摩擦系数迅速降至0.13,远远低于直剪试验中所得试样之残余摩擦系数值;(2) 高速剪切条件下(Veq ≥ 0.61m/s),摩擦生热将引起试样剪切带温度值的迅速增加,导致试样内水分子产生汽化现象,在剪切带中形成高密度气孔层,并同时促进试样内部细颗粒与水分子的活化能;(3) 试样受剪过程中摩擦生热所引起的热压现象和分子活化现象是导致试样之动态抗剪特性发生明显弱化的重要原因。

易贡高速远程滑坡区域位置


滑坡底部相试样等效摩擦系数之速度相依弱化特性


程谦恭教授科研团队论文的发表得到了国家自然科学基金委重点项目的资助,是其科研团队最近几年在高速远程滑坡动力学研究领域的新进展,在国际高速远程滑坡动力学研究领域,很大一部分重要的原创性理论或模型实验成果发表在此期刊上。

由于该研究对于滑坡动力学研究领域“棘手问题(Teaser)”的诠释,JGR编委将该论文作为“宽广的地球和空间科学领域”的最佳接受论文而优选为“研究焦点”(Research Spotlight),并于《地球与空间科学新闻》(Eos)上进行报道宣传。

在2017年4月24日上线的美国《地球与空间科学新闻》(Eos)“研究焦点”栏目,自由撰稿人以“什么引起高速远程滑坡?——在中国发生的致命的高速远程滑坡底部的摩擦弱化实验研究,有助于阐明造成这些灾难性自然灾害的机制(What Causes Rock Avalanches?  Experimental studies of frictional weakening beneath a deadly rock avalanche in China help to clarify the mechanisms that cause these devastating natural disasters.)”为标题,撰文评论指出:“虽然已经提出了许多机制解释高速远程滑坡的独特特征,但是其超常运动特性的具体原因科学家仍在激烈辩论”;“该研究成果对于滑坡动力学,地震力学,以及危险性评估在内的许多地质学科领域的研究人员均具有借鉴价值(The results have implications for researchers in many geologic disciplines, including landslide dynamics, earthquake mechanics, and risk assessment.)”。


论文详情:Wang, Y. F., J. J. Dong, and Q. G. Cheng (2017),Velocity-dependent frictional weakening of large rock avalanche basal facies:Implications for rock avalanche hypermobility?, J. Geophys. Res. Solid Earth,122, 1648–1676, doi:10.1002/2016JB013624.

论文链接://onlinelibrary.wiley.com/doi/10.1002/2016JB013624/full

评论链接:

(1)Eos.org: Research Spotlights://eos.org/research-spotlights/what-causes-rock-avalanches

(2)JGR: Solid Earth:Journal Highlights:What Causes Rock Avalanches? //agupubs.onlinelibrary.wiley.com/hub/article/10.1002/2016JB013624/editor-highlight/